Eisenlohr’s optimal conformal map of the world

General discussion of map projections.
Post Reply
quadibloc
Posts: 333
Joined: Sun Aug 18, 2019 12:28 am

Re: Eisenlohr’s optimal conformal map of the world

Post by quadibloc »

Milo wrote: Mon Jan 31, 2022 4:06 pm Ah, I think I get it. Assuming that φ and λ are latitude and longitude on the original sphere, as they usually are, the following two lines explain the meaning of ψ, and I can then work backwards from there.
daan wrote: Mon Jan 31, 2022 1:42 pmφ = π/2 – 2 arctan |ψ|
λ = arg(ψ)
For those who may be confused by the above, as it requires some mathematical sophistication to follow, note that ψ is a complex number, and therefore includes both the longitude and the latitude within it.
This, of course, is quite normal for advanced conformal projections, because a differential complex-valued function on the complex plane represents a conformal mapping.
daan wrote: Sat Apr 16, 2022 5:53 pm AE = π [ln(16) - 2]

The end.
Thank you for what must have been a lot of work.
daan
Site Admin
Posts: 1004
Joined: Sat Mar 28, 2009 11:17 pm

Re: Eisenlohr’s optimal conformal map of the world

Post by daan »

daan wrote: Sat Apr 16, 2022 5:09 pm
daan wrote: Thu Feb 03, 2022 4:34 pm
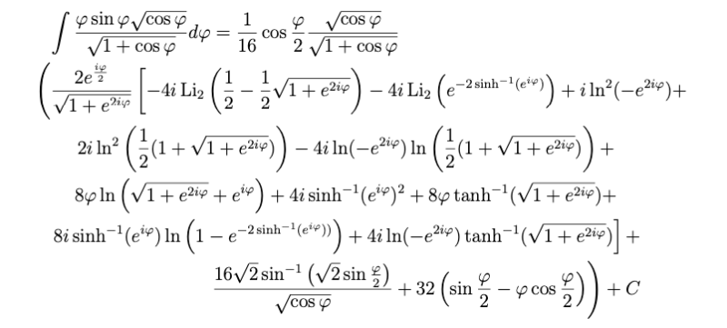
daan wrote: Thu Feb 03, 2022 2:16 pm Looking into the area of E
(Assuming I haven’t messed something up,) It comes down to 2π – 8∫0π/2 φ sin(φ)/√(1 + sec(φ)) . The integral stumps Maxima, Mathematica, and Maple, so I presume it’s not integrable in closed form. There are ways of evaluating definite integrals that I don’t know much about but that those programs sometimes know things about. They are still stumped. I can’t say for sure that the case is closed, but it’s not looking good. I have a suspicion that, if there is a closed form, it includes a √2 factor, and once factoring that out, what’s left is not a rational multiple of π or π². I get that from the Taylor series expansion.

— daan
Shockingly, this does have a closed form, but what I have is gigantic, incredibly messy, and is subject to branch-cut difficulties when evaluating. Since the imaginary portions evaporate in the end, there must be some simpler way to express it than what I have. I’ll continue working on it, but… wow. What a mess.
The mess:
Integral for Eisenlohr area calculation
Integral for Eisenlohr area calculation
Eisenlohr_area.png (77.97 KiB) Viewed 10470 times
Where Li2 is the dilogarithm and sinh–1, for example, means arcsinh.

Cheers,
— daan
Milo
Posts: 296
Joined: Fri Jan 22, 2021 11:11 am

Re: Eisenlohr’s optimal conformal map of the world

Post by Milo »

I was going to offer advice for simplifying that before I noticed the thread has been updated with multiple posts. The forum took me straight to the last one.
daan wrote: Sat Apr 16, 2022 5:53 pmAE = π [ln(16) - 2]

The end.
Awesome!

With that, I can finally find the resolution-efficiency of the Eisenlohr projection, which computes to 1/(3+sqrt(8))/sqrt(ln(2)-1/2), or approximately 0.3904. This is reasonably close to my previous pixel-counting estimate 0.3893, although still with an error of 2.8%. Contrast 0.5000 for the Lagrange projection.

I do believe that's the Eisenlohr projection well and thoroughly solved, now. Congratulations!
mapnerd2022
Posts: 170
Joined: Tue Dec 28, 2021 9:33 pm

Re: Eisenlohr’s optimal conformal map of the world

Post by mapnerd2022 »

quadibloc wrote: Sat Apr 16, 2022 9:26 pm
Milo wrote: Mon Jan 31, 2022 4:06 pm Ah, I think I get it. Assuming that φ and λ are latitude and longitude on the original sphere, as they usually are, the following two lines explain the meaning of ψ, and I can then work backwards from there.
daan wrote: Mon Jan 31, 2022 1:42 pmφ = π/2 – 2 arctan |ψ|
λ = arg(ψ)
For those who may be confused by the above, as it requires some mathematical sophistication to follow, note that ψ is a complex number, and therefore includes both the longitude and the latitude within it.
This, of course, is quite normal for advanced conformal projections, because a differential complex-valued function on the complex plane represents a conformal mapping.
daan wrote: Sat Apr 16, 2022 5:53 pm AE = π [ln(16) - 2]

The end.
Thank you for what must have been a lot of work.
And of course when modifiying a conformal projection, as long as you use a conformal mapping, the modified projection will be conformal as well.
daan
Site Admin
Posts: 1004
Joined: Sat Mar 28, 2009 11:17 pm

Re: Eisenlohr’s optimal conformal map of the world

Post by daan »

Milo wrote: Sun Apr 17, 2022 12:32 am I was going to offer advice for simplifying that before I noticed the thread has been updated with multiple posts. The forum took me straight to the last one.
I’d definitely like something simpler! Seems like there must be, but so far it eludes me.
Milo wrote: Sun Apr 17, 2022 12:32 am I do believe that's the Eisenlohr projection well and thoroughly solved, now. Congratulations!
Thank you! Paper is out for review; I’ll have to update it with this closed-form result.
quadibloc wrote: Sat Apr 16, 2022 9:26 pm For those who may be confused by the above…
I appreciate the addendum, given that I was hasty and focused solely on the math.
quadibloc wrote: Sat Apr 16, 2022 9:26 pm Thank you for what must have been a lot of work.
Thank you.

Cheers,
— daan
daan
Site Admin
Posts: 1004
Joined: Sat Mar 28, 2009 11:17 pm

Re: Eisenlohr’s optimal conformal map of the world

Post by daan »

mapnerd2022 wrote: Sun Apr 17, 2022 2:28 am And of course when modifiying a conformal projection, as long as you use a conformal mapping, the modified projection will be conformal as well.
Yes. In fact, in the context of this projection, I use that observation in conjunction with the Identity Theorem to produce the alternative formulations of the Eisenlohr that let me find an efficient inverse and let me express the scale factors.

What I did: I used Eisenlohr’s complex-valued formulation (after correcting the typos, of course!) evaluated at λ = 0 in order to find a formula for just the central meridian, which is much simpler than the full projection. Essentially, it’s how parallels along the central meridian get spaced in the map. Then I figure out what transformation of the stereographic projection would result in constant spacing of parallels along the central meridian. This is a complex-valued transformation of the stereographic into another projection (which happens to be the transverse Mercator, but starting with stereographic gives me a cleaner progression for the inverse). So that’s a complex-valued function applied to a conformal projection to yield another conformal projection. And then, if I use the complex-valued mapping of the transverse Mercator as input into the central meridian formula for Eisenlohr, I get an alternative formulation for the Eisenlohr that led to some useful observations about the projection. The β projection earlier in this thread is an intermediate conformal projection that gets projected into the Eisenlohr by means of a complex-valued function.

The function that represents the central meridian of the Eisenlohr is a real-valued function (it acts on the latitude), but due to analytic continuation, you can use the same function for complex values. Because the spacing for the resulting complex-valued function is the same as the Eisenlohr along the central meridian, it must be the Eisenlohr because of the Identity Theorem.

— daan
Milo
Posts: 296
Joined: Fri Jan 22, 2021 11:11 am

Re: Eisenlohr’s optimal conformal map of the world

Post by Milo »

daan wrote: Sun Apr 17, 2022 11:50 amI’d definitely like something simpler! Seems like there must be, but so far it eludes me.
I think you should be able to simplify it a fair bit just by factorizing. For example, i ln2(-e2) + 2i ln2(½(1 + √(1 + e2))) - 4i ln(-e2) ln(½(1 + √(1 + e2))) has obvious common terms. Unfortunately it doesn't factor into something of the form (ab)2, because the cross-term is √2 times what would be expected given the other two terms, but this has to be good for something. Likewise there's an arctangent that's mentioned twice.

You also appear to have overlooked a case of ln(√(1 + e2) + e) = asinh(e) (then again, not 100% sure how correct that is when considering complex branch cuts).

Come to think of it, can't you simplify ln(-e2) = 2 + ln(-1) = 2 ± ? Since you also have "free" φs outside of an exponentiation, that should help.
Atarimaster
Posts: 452
Joined: Fri Nov 07, 2014 2:43 am

Re: Eisenlohr’s optimal conformal map of the world

Post by Atarimaster »

Milo wrote: Sun Apr 17, 2022 12:32 amThe forum took me straight to the last one.
Off-topic, but maybe helpful:
If there are unread postings in a thread, there’s a red paper sheet icon before the thread title. Clicking the icon will take you to the first unread posting.
Bildschirmfoto 2022-04-18 um 13.26.20.png
Bildschirmfoto 2022-04-18 um 13.26.20.png (38.27 KiB) Viewed 10453 times
Milo
Posts: 296
Joined: Fri Jan 22, 2021 11:11 am

Re: Eisenlohr’s optimal conformal map of the world

Post by Milo »

Yeah. Unfortunately, the "last post" link on the main forum index doesn't have the same feature.
mapnerd2022
Posts: 170
Joined: Tue Dec 28, 2021 9:33 pm

Re: Eisenlohr’s optimal conformal map of the world

Post by mapnerd2022 »

daan wrote: Sun Apr 17, 2022 12:14 pm
mapnerd2022 wrote: Sun Apr 17, 2022 2:28 am And of course when modifiying a conformal projection, as long as you use a conformal mapping, the modified projection will be conformal as well.
Yes. In fact, in the context of this projection, I use that observation in conjunction with the Identity Theorem to produce the alternative formulations of the Eisenlohr that let me find an efficient inverse and let me express the scale factors.

What I did: I used Eisenlohr’s complex-valued formulation (after correcting the typos, of course!) evaluated at λ = 0 in order to find a formula for just the central meridian, which is much simpler than the full projection. Essentially, it’s how parallels along the central meridian get spaced in the map. Then I figure out what transformation of the stereographic projection would result in constant spacing of parallels along the central meridian. This is a complex-valued transformation of the stereographic into another projection (which happens to be the transverse Mercator, but starting with stereographic gives me a cleaner progression for the inverse). So that’s a complex-valued function applied to a conformal projection to yield another conformal projection. And then, if I use the complex-valued mapping of the transverse Mercator as input into the central meridian formula for Eisenlohr, I get an alternative formulation for the Eisenlohr that led to some useful observations about the projection. The β projection earlier in this thread is an intermediate conformal projection that gets projected into the Eisenlohr by means of a complex-valued function.

The function that represents the central meridian of the Eisenlohr is a real-valued function (it acts on the latitude), but due to analytic continuation, you can use the same function for complex values. Because the spacing for the resulting complex-valued function is the same as the Eisenlohr along the central meridian, it must be the Eisenlohr because of the Identity Theorem.

— daan
You're one of the people who got me so interested in and knowledgeable about map projections! I have read your map projections papers a lot, they're really interesting, intriguing and of course what is written on them is really incredible! Like Mr.Jung, I'm not not just any layman; I DO care about map projections and find them interesting and even fun to mess with. You won't believe me when I say I saw a Mercator projection having been used to show the worldwide distribution of covid19 cases and that I also saw it on TV being used in one Portuguese school(an elementary school, no less!) ( Particularly when children believe anything they see, even a nightmare-ish, unbalanced and greatly distorted representation of the world and especially of the polar regions) that has taken in/integrated some chilidren from Ukraine. It's really sad how they don't just have someone with some map projection expertise choose a more balanced and pleasant view of the world such as the Robinson or the Winkel Tripel in either the original, the Bartholomew or the Oxford versions. Sigh...
Post Reply